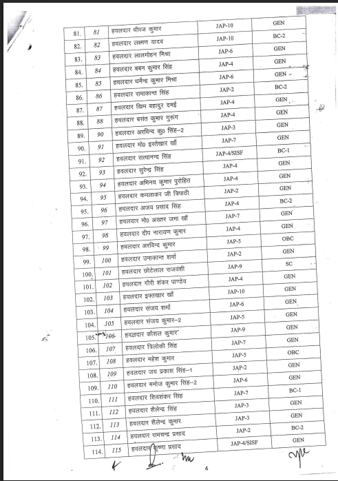
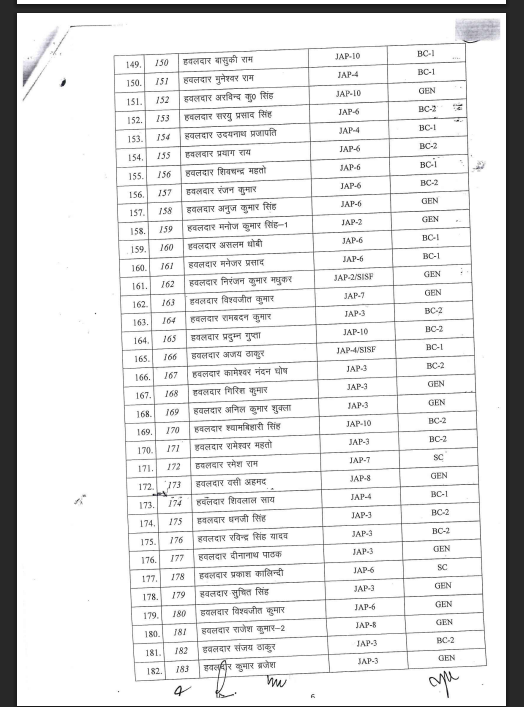
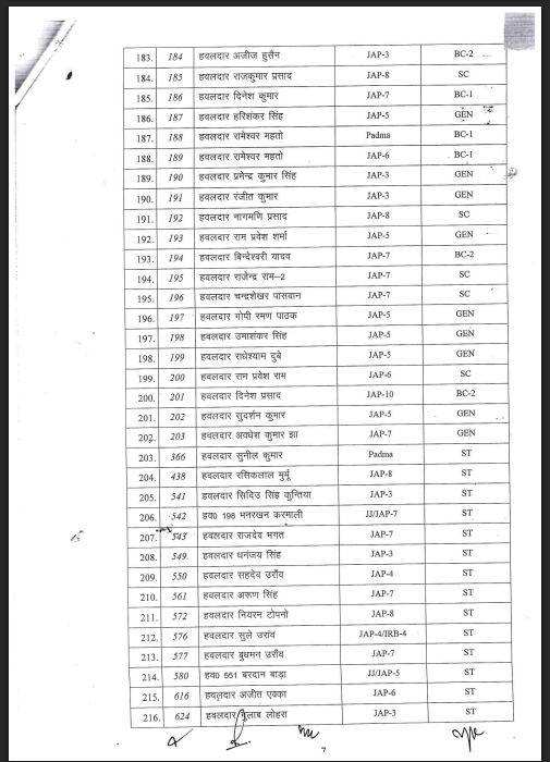
Ranchi : राज्य पुलिस के 172 हवलदारों को एसआई रैंक में प्रोन्नति दी गई है. पुलिस मुख्यालय ने इससे संबंधित आदेश जारी कर दिया है. जारी आदेश के मुताबिक, 172 में से 135 पदों पर जनरल कैटेगरी के, 14 पदों पर अनुसूचित जाति के और 44 पदों पर अनुसूचित जनजाति के हवलदारों को प्रोन्नति दी गई है.
उल्लेखनीय है कि पिछले दिनों प्रोन्नति समिति की बैठक हुई थी. बैठक में आईजी क्रांति कुमार गड़देशी, पटेल मयूर कन्हैयालाल, मनोज रतन चौथे और सुरेंद्र कुमार झा शामिल थे. बैठक में योग्य हवलदारों को प्रोन्नति देने का फैसला लिया गया.
पूरी लिस्ट देखने के लिए यहां भी क्लिक कर सकते हैं.



















Lagatar Media की यह खबर आपको कैसी लगी. नीचे दिए गए कमेंट बॉक्स में अपनी राय साझा करें.
Leave a Comment